Autor/a

Pamela Eugenia Pairo

Código
knitr::opts_chunk$set(warning = FALSE, message = FALSE)

# Cargamos las librerías que vamos a utilizar
library(tidyverse)
library(tidymodels)
library(GGally)
library(cowplot)
library(glmnet)
library(RColorBrewer)
library(knitr)
library(kableExtra)

set.seed(15)

Presentación del caso de estudio

En esta clase vamos a trabajar con la base de datos de los jugadores de FIFA 2024 MEN, la cual fue extraída de Kaggle.

El objetivo de la clase es predecir el precio de los jugadores de FIFA 2024 utilizando diferentes modelos de regresión y regularización.

Código
df <- read.csv("player_stats.csv")

colSums(is.na(df))# chequeamos si hay datos faltantes
        player        country         height         weight            age 
             0              0              0              0              0 
          club   ball_control      dribbling        marking   slide_tackle 
             0              0              0              0              0 
  stand_tackle     aggression      reactions   att_position  interceptions 
             0              0              0              0              0 
        vision      composure       crossing     short_pass      long_pass 
             0              0              0              0              0 
  acceleration        stamina       strength        balance   sprint_speed 
             0              0              0              0              0 
       agility        jumping        heading     shot_power      finishing 
             0              0              0              0              0 
    long_shots          curve         fk_acc      penalties        volleys 
             0              0              0              0              0 
gk_positioning      gk_diving    gk_handling     gk_kicking    gk_reflexes 
             0              0              0              0              0 
         value 
             0 
Código
sum(duplicated(df))#chequeamos duplicados
[1] 0
Código
glimpse(df)
Rows: 5,682
Columns: 41
$ player         <chr> "Cristian Castro Devenish", "Silaldo Taffarel", "Thomas…
$ country        <chr> "Colombia", "Brazil", "Germany", "Austria", "Uruguay", …
$ height         <int> 192, 181, 193, 187, 191, 183, 194, 185, 189, 173, 186, …
$ weight         <int> 84, 80, 84, 86, 80, 83, 88, 75, 80, 67, 78, 65, 88, 67,…
$ age            <int> 22, 31, 29, 33, 23, 31, 25, 20, 30, 22, 23, 31, 21, 29,…
$ club           <chr> "Atl. Nacional ", "Corinthians ", "Holstein Kiel ", "SK…
$ ball_control   <int> 55, 69, 25, 46, 14, 20, 52, 41, 68, 65, 62, 61, 45, 54,…
$ dribbling      <int> 43, 70, 12, 48, 8, 16, 43, 33, 67, 67, 59, 59, 28, 51, …
$ marking        <chr> "", "", "", "", "", "", "", "", "", "", "", "", "", "",…
$ slide_tackle   <int> 68, 56, 13, 66, 14, 13, 71, 65, 16, 30, 30, 58, 54, 50,…
$ stand_tackle   <int> 73, 58, 16, 69, 16, 17, 72, 70, 22, 33, 24, 59, 58, 51,…
$ aggression     <int> 72, 62, 27, 71, 28, 27, 63, 46, 61, 40, 51, 60, 50, 86,…
$ reactions      <int> 68, 70, 65, 64, 50, 70, 61, 54, 64, 47, 58, 58, 50, 55,…
$ att_position   <int> 30, 69, 17, 48, 10, 10, 37, 27, 72, 65, 62, 60, 25, 56,…
$ interceptions  <int> 65, 70, 20, 66, 12, 21, 68, 56, 22, 29, 31, 60, 54, 51,…
$ vision         <int> 30, 64, 49, 29, 38, 55, 34, 25, 50, 58, 57, 63, 48, 52,…
$ composure      <int> 50, 54, 48, 70, 34, 44, 56, 46, 64, 59, 53, 49, 48, 45,…
$ crossing       <int> 33, 60, 14, 44, 11, 10, 43, 26, 33, 60, 58, 51, 35, 51,…
$ short_pass     <int> 64, 63, 35, 58, 23, 25, 60, 49, 57, 63, 64, 65, 54, 50,…
$ long_pass      <int> 49, 63, 18, 53, 20, 23, 55, 45, 42, 61, 51, 63, 50, 42,…
$ acceleration   <int> 41, 64, 46, 35, 38, 55, 55, 63, 53, 81, 71, 74, 61, 73,…
$ stamina        <int> 55, 87, 38, 73, 28, 44, 75, 64, 54, 55, 63, 67, 46, 70,…
$ strength       <int> 86, 81, 68, 82, 64, 75, 84, 78, 86, 63, 71, 49, 78, 64,…
$ balance        <int> 40, 42, 41, 56, 24, 65, 33, 63, 58, 80, 54, 90, 52, 80,…
$ sprint_speed   <int> 52, 67, 48, 63, 31, 54, 68, 55, 69, 69, 74, 66, 64, 78,…
$ agility        <int> 43, 65, 36, 57, 34, 62, 34, 45, 60, 68, 67, 85, 51, 77,…
$ jumping        <int> 51, 65, 60, 80, 27, 72, 74, 71, 73, 60, 74, 71, 60, 58,…
$ heading        <int> 64, 54, 17, 67, 13, 21, 74, 55, 76, 47, 60, 48, 52, 51,…
$ shot_power     <int> 54, 60, 51, 32, 48, 48, 41, 39, 74, 73, 62, 56, 50, 51,…
$ finishing      <int> 30, 64, 14, 24, 4, 14, 33, 21, 71, 53, 60, 48, 25, 33, …
$ long_shots     <int> 31, 68, 20, 33, 6, 16, 18, 24, 58, 55, 59, 57, 23, 45, …
$ curve          <int> 32, 65, 20, 25, 9, 15, 29, 26, 53, 53, 49, 45, 37, 50, …
$ fk_acc         <int> 34, 62, 15, 13, 10, 13, 22, 26, 39, 31, 35, 50, 30, 40,…
$ penalties      <int> 41, 48, 26, 22, 16, 13, 34, 39, 72, 58, 57, 49, 41, 50,…
$ volleys        <int> 33, 46, 16, 19, 5, 10, 34, 25, 63, 60, 52, 39, 35, 46, …
$ gk_positioning <int> 10, 12, 64, 10, 61, 72, 10, 7, 11, 8, 8, 6, 9, 14, 12, …
$ gk_diving      <int> 11, 15, 74, 10, 59, 78, 5, 6, 7, 12, 10, 14, 10, 9, 8, …
$ gk_handling    <int> 6, 14, 65, 8, 62, 73, 14, 12, 10, 8, 6, 10, 13, 8, 9, 1…
$ gk_kicking     <int> 7, 8, 68, 14, 64, 64, 12, 13, 15, 5, 10, 10, 7, 15, 8, …
$ gk_reflexes    <int> 9, 14, 74, 9, 64, 74, 5, 11, 12, 15, 10, 11, 13, 11, 12…
$ value          <chr> "$1.400.000", "$975.00 ", "$1.100.000", "$650.00 ", "$3…

Atributos de los jugadores:

  • Player: The name of the football player.
  • Country: The nationality or home country of the player.
  • Height: The height of the player in centimeters.
  • Weight: The weight of the player in kilograms.
  • Age: The age of the player.
  • Club: The club to which the player is currently affiliated.
  • Ball Control: Player’s skill in controlling the ball.
  • Dribbling: Player’s dribbling ability.
  • Marking: Player’s marking skill.
  • Slide Tackle: Player’s ability to perform slide tackles.
  • Stand Tackle: Player’s ability to perform standing tackles.
  • Aggression: Player’s aggression level.
  • Reactions: Player’s reaction time.
  • Attacking Position: Player’s positioning for attacking plays.
  • Interceptions: Player’s skill in intercepting passes.
  • Vision: Player’s vision on the field.
  • Composure: Player’s composure under pressure.
  • Crossing: Player’s ability to deliver crosses.
  • Short Pass: Player’s short passing accuracy.
  • Long Pass: Player’s ability in long passing.
  • Acceleration: Player’s acceleration on the field.
  • Stamina: Player’s stamina level.
  • Strength: Player’s physical strength.
  • Balance: Player’s balance while playing.
  • Sprint Speed: Player’s speed in sprints.
  • Agility: Player’s agility in maneuvering.
  • Jumping: Player’s jumping ability.
  • Heading: Player’s heading skills.
  • Shot Power: Player’s power in shooting.
  • Finishing: Player’s finishing skills.
  • Long Shots: Player’s ability to make long-range shots.
  • Curve: Player’s ability to curve the ball.
  • Free Kick Accuracy: Player’s accuracy in free-kick situations.
  • Penalties: Player’s penalty-taking skills.
  • Volleys: Player’s volleying skills.
  • Goalkeeper Positioning: Goalkeeper’s positioning attribute (specific to goalkeepers).
  • Goalkeeper Diving: Goalkeeper’s diving ability (specific to goalkeepers).
  • Goalkeeper Handling: Goalkeeper’s ball-handling skill (specific to goalkeepers).
  • Goalkeeper Kicking: Goalkeeper’s kicking ability (specific to goalkeepers).
  • Goalkeeper Reflexes: Goalkeeper’s reflexes (specific to goalkeepers).
  • Value: The estimated value of the player.

Modificamos la variable valuepara que tenga el tipo de dato que le corresponde y agregamos un cero a los valores que terminan .00.

Código
df <- df %>%
  mutate(
    new_value = value %>%
      str_replace("\\.00\\s$", "000") %>%
      str_replace_all("\\$", "") %>%
      str_replace_all("\\.", "") %>%
      str_trim() %>%
      as.integer()
  )

df %>%
  head() %>%
  kable(format = "html") %>%
  kable_styling(full_width = FALSE) 
player country height weight age club ball_control dribbling marking slide_tackle stand_tackle aggression reactions att_position interceptions vision composure crossing short_pass long_pass acceleration stamina strength balance sprint_speed agility jumping heading shot_power finishing long_shots curve fk_acc penalties volleys gk_positioning gk_diving gk_handling gk_kicking gk_reflexes value new_value
Cristian Castro Devenish Colombia 192 84 22 Atl. Nacional 55 43 68 73 72 68 30 65 30 50 33 64 49 41 55 86 40 52 43 51 64 54 30 31 32 34 41 33 10 11 6 7 9 $1.400.000 1400000
Silaldo Taffarel Brazil 181 80 31 Corinthians 69 70 56 58 62 70 69 70 64 54 60 63 63 64 87 81 42 67 65 65 54 60 64 68 65 62 48 46 12 15 14 8 14 $975.00 975000
Thomas Dähne Germany 193 84 29 Holstein Kiel 25 12 13 16 27 65 17 20 49 48 14 35 18 46 38 68 41 48 36 60 17 51 14 20 20 15 26 16 64 74 65 68 74 $1.100.000 1100000
Michael Sollbauer Austria 187 86 33 SK Rapid Wien 46 48 66 69 71 64 48 66 29 70 44 58 53 35 73 82 56 63 57 80 67 32 24 33 25 13 22 19 10 10 8 14 9 $650.00 650000
Diego Segovia Uruguay 191 80 23 Independiente 14 8 14 16 28 50 10 12 38 34 11 23 20 38 28 64 24 31 34 27 13 48 4 6 9 10 16 5 61 59 62 64 64 $300.00 300000
Cláudio Ramos Portugal 183 83 31 FC Porto 20 16 13 17 27 70 10 21 55 44 10 25 23 55 44 75 65 54 62 72 21 48 14 16 15 13 13 10 72 78 73 64 74 $2.800.000 2800000

Análisis exploratorio

A continuación se realizan algunos gráficos de análisis exploratorio con el fin de analizar la relación entre algunas variables y el comportamiento del precio de los jugadores.

Código
ggplot(df, aes(y = new_value)) +
  geom_boxplot()

Código
#paises con mas jugadores
top_10 <- df %>%
  count(country, sort = TRUE) %>% 
  head(n=10)


#barplot
ggplot(top_10, aes(x = reorder(country, n), y = n)) +
  geom_bar(stat = "identity", fill = "#FDB462") + 
  coord_flip() +
  labs(
    x = "País",
    y = "Cantidad de jugadores",
    title = "Top 10 países con mas jugadores"
  ) +
  theme_minimal()

Código
ggplot(df, aes(height)) +
     geom_histogram(fill="#FDB462", colour="black")

Código
    ggplot(data = df, aes(x = aggression, y = finishing, color = shot_power)) +
      geom_point()+ scale_color_gradientn(colours = terrain.colors(8))

Código
    ggplot(data = df, aes(x = heading, y = jumping, color = reactions)) +
      geom_point()+ scale_color_gradientn(colours = terrain.colors(8))

Código
    ggplot(data = df, aes(x = gk_handling, y = gk_diving, color = gk_kicking)) +
      geom_point()+ scale_color_gradientn(colours = terrain.colors(8))

Código
top_5 <- df %>%
  count(country, sort = TRUE) %>% 
  head(n=5)

df_top_5_full <-df %>%
  filter(country %in% top_5$country)
Código
df_top_5_full %>% 
  select(new_value, age, country, aggression, long_pass, shot_power, height, finishing, country) %>% 
  ggpairs(aes(color = country), upper = list(continuous = wrap("cor", size = 3, hjust=0.5)), progress=FALSE) + 
  theme(axis.text.x = element_text(angle = 90, hjust = 1), legend.position = "bottom") + 
  theme_bw()

Código
df %>% 
  select_if(is.numeric) %>% # selección variables numéricas
  ggcorr(., layout.exp = 5, hjust = 1, size = 3.5, nbreaks = 5, color = "grey50") + # graficamos correlacion pearson
  labs(title='Correlograma de variables cuantitativas')

Preparación de la base de datos

Vamos a separar a los arqueros del resto de los jugadores.

Código
df_ <-df %>% filter(gk_positioning < 30 & gk_positioning < 30) %>% #saco arqueros
  select(-c(value, marking, country, club, player)) %>% #saco ciertas columnas
  select(-starts_with("gk_"))#elimino columnas que caracterizan a los arqueros

Partición en train y test

Código
df_split <- initial_split(df_,
                          prop = 0.8)

train<- df_split %>%
              training()

test <- df_split %>%
              testing()

train_sc <- as.data.frame(scale(train))
test_sc <- as.data.frame(scale(test))
Código
train_sc %>% 
  ggcorr(., layout.exp = 5, hjust = 1, size = 3.5, nbreaks = 5, color = "grey50") + # graficamos correlacion pearson
  labs(title='Correlograma de variables cuantitativas en train')

Regresión Lineal Múltiple

Código
# Modelo lineal
modelo_lineal = train_sc %>% lm(formula = new_value ~ .)

#Coeficientes
lineal_coef = modelo_lineal %>% tidy(conf.int=TRUE)

#graficamos los coeficientes estimados
lineal_coef %>% filter(!is.na(estimate)) %>% 
  ggplot(., aes(term, estimate))+
  geom_point(color = "forestgreen")+
  geom_pointrange(aes(ymin = conf.low, ymax = conf.high), color = "forestgreen")+
  geom_hline(yintercept = 0, lty = 4, color = "black") +
  labs(title = "Coeficientes de la regresión lineal", x="", y="Estimación e Int. Confianza") +
  theme_bw() +
  theme(axis.text.x = element_text(angle=90))

Graficamos los p-valores de mayor a menor para evaluar la significatividad individual de los coeficientes estimados.

Código
lineal_coef %>% filter(!is.na(estimate)) %>% 
  ggplot(., aes(reorder(term, -p.value), p.value, fill=p.value))+
  geom_bar(stat = 'identity', aes(fill=p.value))+
  geom_hline(yintercept = 0.05) +
  labs(title = "P-valor de los regresores", x="", y="P-valor") +
  theme_bw() +
  theme(axis.text.x = element_text(angle=90)) + 
  scale_fill_gradient2(high='firebrick', low = 'forestgreen', mid='yellow2',midpoint = 0.5 )

Evaluamos la multicolinealidad de las regresoras.

Código
car::vif (modelo_lineal)
       height        weight           age  ball_control     dribbling 
     3.706737      2.859991      1.730275      7.955621      7.222670 
 slide_tackle  stand_tackle    aggression     reactions  att_position 
    19.164518     20.855528      2.564884      3.661640      6.130713 
interceptions        vision     composure      crossing    short_pass 
    10.776083      5.478018      3.958109      3.902192      8.095459 
    long_pass  acceleration       stamina      strength       balance 
     5.757645      6.285201      1.833637      3.924871      3.642285 
 sprint_speed       agility       jumping       heading    shot_power 
     4.366600      4.508666      1.673276      3.131547      4.690486 
    finishing    long_shots         curve        fk_acc     penalties 
     8.778075      7.571247      5.211349      4.219688      3.497804 
      volleys 
     5.045861 

Regularización

La libreria glmnet nos permite trabajar con modelos Ridge, Lasso y Elastic Net. La función que vamos a utilizar es glmnet(). Es necesario que le pasemos un objeto matriz con los regresores y un vector con la variable a explicar (en este caso los salarios de los jugadores). Pueden chequear en el este link mas información sobre glmnet.

Fórmula:

\(ECM + \lambda{\left[\alpha\sum_{j}|\beta_j| +(1-\alpha)\sum_{j}\beta_j^2\right]}\)

  • \(\lambda\) regula la importancia de la penalización.

  • \(\alpha\) controla la importancia relativa de la regularización L1 y L2 y sirve para indicar si deseamos realizar un modelo de tipo Lasso, Ridge o Elastic Net.

    • Ridge: \(\alpha=0\)

    • Lasso: \(\alpha=1\)

    • Elastic Net: \(0<\alpha<1\)

Ridge (L2 regularization)

En este caso la penalización funciona añadiendo un término basado en la suma de los cuadrados de los coeficientes (\(\sum \beta_j^2\)) a la función de costo, lo que lleva la magnitud de los coeficientes hacia cero. Cuando \(\lambda\) toma valores altos, aplica una penalización fuerte, resultando en coeficientes muy pequeños y siendo muy útil para mitigar la multicolinealidad al distribuir la importancia entre variables correlacionadas.

\[\min_{\beta_0, \beta} \left\{ \frac{1}{2N} \sum_{i=1}^{N} (y_i - \beta_0 - x_i^T \beta)^2 + \lambda \sum_{j=1}^{p} \beta_j^2 \right\}\]

Código
# modelo ridge 
ridge_model <- glmnet(
  as.matrix(train[, !names(train) %in% "new_value"]),  # predictoras
  train$new_value,  # variable respuesta
  standardize = T, #estandariza las variables
  alpha = 0  # Ridge
)
Código
ridge_tidy <- ridge_model%>% tidy() %>% arrange(step)
ridge_tidy
# A tibble: 3,200 × 5
   term          step estimate      lambda dev.ratio
   <chr>        <dbl>    <dbl>       <dbl>     <dbl>
 1 (Intercept)      1 2.70e+ 6 4182932583.  4.62e-36
 2 height           1 8.96e-33 4182932583.  4.62e-36
 3 weight           1 3.55e-32 4182932583.  4.62e-36
 4 age              1 1.44e-31 4182932583.  4.62e-36
 5 ball_control     1 3.93e-31 4182932583.  4.62e-36
 6 dribbling        1 2.56e-31 4182932583.  4.62e-36
 7 slide_tackle     1 2.50e-32 4182932583.  4.62e-36
 8 stand_tackle     1 3.62e-32 4182932583.  4.62e-36
 9 aggression       1 1.24e-31 4182932583.  4.62e-36
10 reactions        1 4.96e-31 4182932583.  4.62e-36
# ℹ 3,190 more rows
Código
add_top_coef_labels_glmnet <- function(fit, s = NULL, top_n = 5,
                                       offset_x = 0.5, cex = 0.8, col = "black",
                                       pos = 4) {
  # fit: objeto glmnet
  # s: valor lambda (si NULL usa el último de fit$lambda)
  # top_n: cuántas variables etiquetar (por valor absoluto)
  # offset_x: desplazamiento horizontal en la escala de -log(lambda)
  # cex, col, pos: parámetros de text()
  
  # elegir s (último lambda por defecto)
  if (is.null(s)) s <- fit$lambda[length(fit$lambda)]
  
  # extraer coeficientes (sin intercepto)
  coefs <- as.matrix(coef(fit, s = s))
  if (nrow(coefs) <= 1) return(invisible(NULL))  # por si no hay predictores
  coefs <- coefs[-1, , drop = FALSE]
  
  # seleccionar top_n por valor absoluto
  vals <- abs(coefs[, 1])
  ord <- order(vals, decreasing = TRUE)
  top_idx <- ord[seq_len(min(top_n, length(ord)))]
  top_coefs <- coefs[top_idx, 1, drop = FALSE]
  labels <- rownames(top_coefs)
  y <- as.numeric(top_coefs)
  
  # coordenada X en la escala del plot.glmnet (eje = -log(lambda))
  x_desired <- -log(s) + offset_x
  
  # asegurar que el plot ya existe y obtener límites
  usr <- par("usr")  # c(xmin, xmax, ymin, ymax)
  if (is.null(usr) || length(usr) < 4) {
    stop("No hay un plot activo. Llamá primero a plot(fit, xvar='lambda') antes de esta función.")
  }
  
  # si x_desired queda fuera del plot, recolocamos en el borde derecho menos margen
  x_min <- usr[1]; x_max <- usr[2]
  if (x_desired > x_max) x <- x_max - 0.02 * (x_max - x_min) else if (x_desired < x_min) x <- x_min + 0.02 * (x_max - x_min) else x <- x_desired
  
  # si hay muchos labels que se pisan, usar offsets verticales pequeños
  # calculamos desplazamientos verticales para evitar solapamiento simple
  # (ordenamos por y y separamos ligeramente)
  order_y <- order(y)
  y_sorted <- y[order_y]
  # simple jitter vertical proporcional al rango
  yrng <- usr[4] - usr[3]
  jitter_step <- 0.02 * yrng
  y_jittered <- y_sorted + seq(-floor(length(y_sorted)/2), floor((length(y_sorted)-1)/2)) * jitter_step
  # reordenar al orden original de top_idx
  y_final <- numeric(length(y))
  y_final[order_y] <- y_jittered
  
  # dibujar texto
  text(rep(x, length(y_final)), y_final, labels = labels, cex = cex, col = col, pos = pos)
  invisible(data.frame(label = labels, x = x, y = y_final))
}

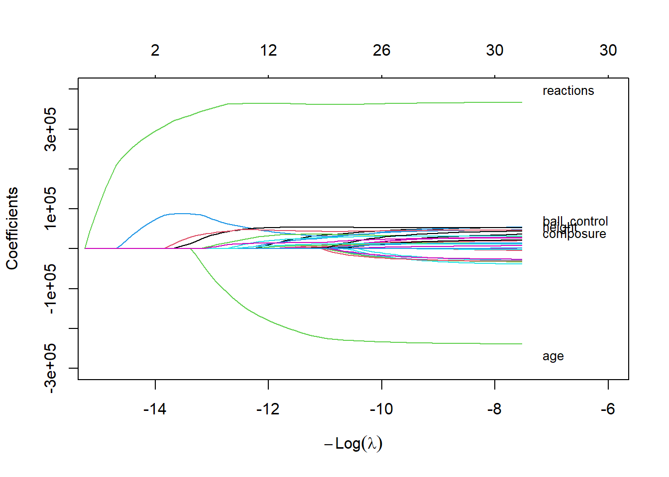
A continuación se muestra el gráfico de valores de \(\lambda\) vs nivel de penalización.

  • En el extremo izquierdo del gráfico se representan los valores altos de \(\lambda\), donde la penalización es máxima y por ende los coeficientes del modelo son prácticamente cero.

  • En el extremo derecho se hayan los valores mas bajos de \(\lambda\). En esta zona, la penalización es mínima. El modelo se acerca a una regresión como la presentada anteriormente, y los coeficientes alcanzan sus máximos valores (no hay prácticamente penalización).

En una regresión Ridge, los coeficientes no llegan a ser cero, se acercan a cero (o se encojen) cuando \(\lambda\) es alto. En el gráfico se muestran las 5 variables mas importantes. Ridge no realiza una selección de variables.

reactions y age son las variables más importantes y con mayor impacto en el salario de los jugadores FIFA 2024.

Código
plot(ridge_model, 
     xvar = "lambda", 
     label=F,
     xlim = c(-22, -11),
     ylim= c(-2.5e05, 3.5e05))
# Agregás etiquetas de las 5 variables más importantes

add_top_coef_labels_glmnet(ridge_model, top_n = 5, offset_x = 0.2, col = "black")

Búsqueda del lambda óptimo

A partir de realizar validación cruzada se encuentra el lambda que minimiza el ECM.

Código
# CV para encontrar el mejor lambda
cv_ridge <- cv.glmnet(
  as.matrix(train[, !names(train) %in% "new_value"]),
  train$new_value,
  standarize=T,
  nfolds= 10,
  type.measure = "mse",
  alpha = 0  # ridge
)

cv_ridge$lambda.min  # este valor de lambda minimiza el ecm
[1] 418293.3

ECM vs complejidad del modelo

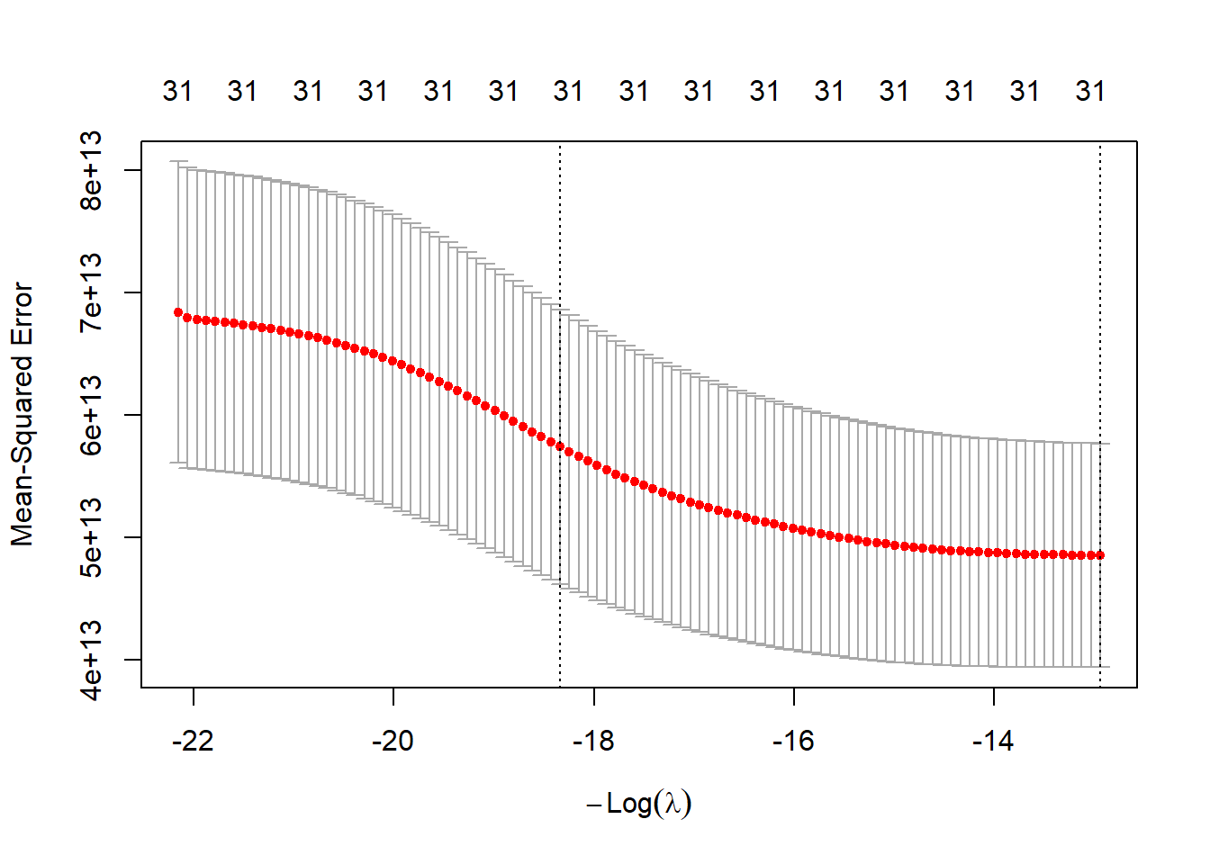
A medida que nos movemos de izquierda a derecha (disminuye \(\lambda\)), el error desciende progresivamente (el modelo se ajusta mejor) hasta que alcanza una meseta.

Como se puede apreciar, aparecen dos lineas verticales en el gráfico. La línea punteada de la derecha corresponde al \(\lambda_{min}\), es decir el valor de \(\lambda\) que da el ECM promedio en la validación cruzada. La línea punteada de la izquierda corresponde al \(\lambda_{1se}\), en el cual se selecciona el modelo más simple (más penalizado, con coeficientes más pequeños) que se considera estadísticamente indistinguible del modelo con el error mínimo.

Código
plot(cv_ridge)

Modelo final

Código
# Selección lambda óptimo
ridge_lambda_opt = cv_ridge$lambda.min

# Entrenamiento modelo óptimo
ridge_opt = glmnet(as.matrix(train[, !names(train) %in% "new_value"]),  # Predictor variables
                  train$new_value,
                   alpha = 0, # Indicador del tipo de regularizacion
                   standardize = TRUE,  # Estandarizamos
                   lambda = ridge_lambda_opt)
# Salida estandar
ridge_opt

Call:  glmnet(x = as.matrix(train[, !names(train) %in% "new_value"]),      y = train$new_value, alpha = 0, lambda = ridge_lambda_opt,      standardize = TRUE) 

  Df  %Dev Lambda
1 31 30.26 418300

El porcentaje de deviance explicado del modelo final es del 31,4%.

Código
# Tidy
ridge_opt %>% tidy() %>% mutate(estimate = round(estimate, 4))
# A tibble: 32 × 5
   term          step   estimate  lambda dev.ratio
   <chr>        <dbl>      <dbl>   <dbl>     <dbl>
 1 (Intercept)      1 -41837208. 418293.     0.303
 2 height           1     51311. 418293.     0.303
 3 weight           1     -1728. 418293.     0.303
 4 age              1   -222401. 418293.     0.303
 5 ball_control     1     51273. 418293.     0.303
 6 dribbling        1    -16994. 418293.     0.303
 7 slide_tackle     1      1011. 418293.     0.303
 8 stand_tackle     1     19708. 418293.     0.303
 9 aggression       1     18411. 418293.     0.303
10 reactions        1    316049. 418293.     0.303
# ℹ 22 more rows

Lasso (L1 regularization)

La penalización en una regresión Lasso funciona añadiendo un término basado en la suma de los valores absolutos de los coeficientes (\(\sum |\beta_j|\)) a la función de costo, lo que reduce la magnitud de los coeficientes y puede forzar a los menos relevantes a ser exactamente cero, realizando selección de variables.

\[\min_{\beta_0, \beta} \left\{ \frac{1}{2N} \sum_{i=1}^{N} (y_i - \beta_0 - x_i^T \beta)^2 + \lambda \sum_{j=1}^{p} |\beta_j| \right\}\]

Código
lasso_model <- glmnet(
  as.matrix(train[, !names(train) %in% "new_value"]),  # Predictor variables
  train$new_value,  # Response variable
  standardize = T,
  alpha = 1  # lasso
)
Código
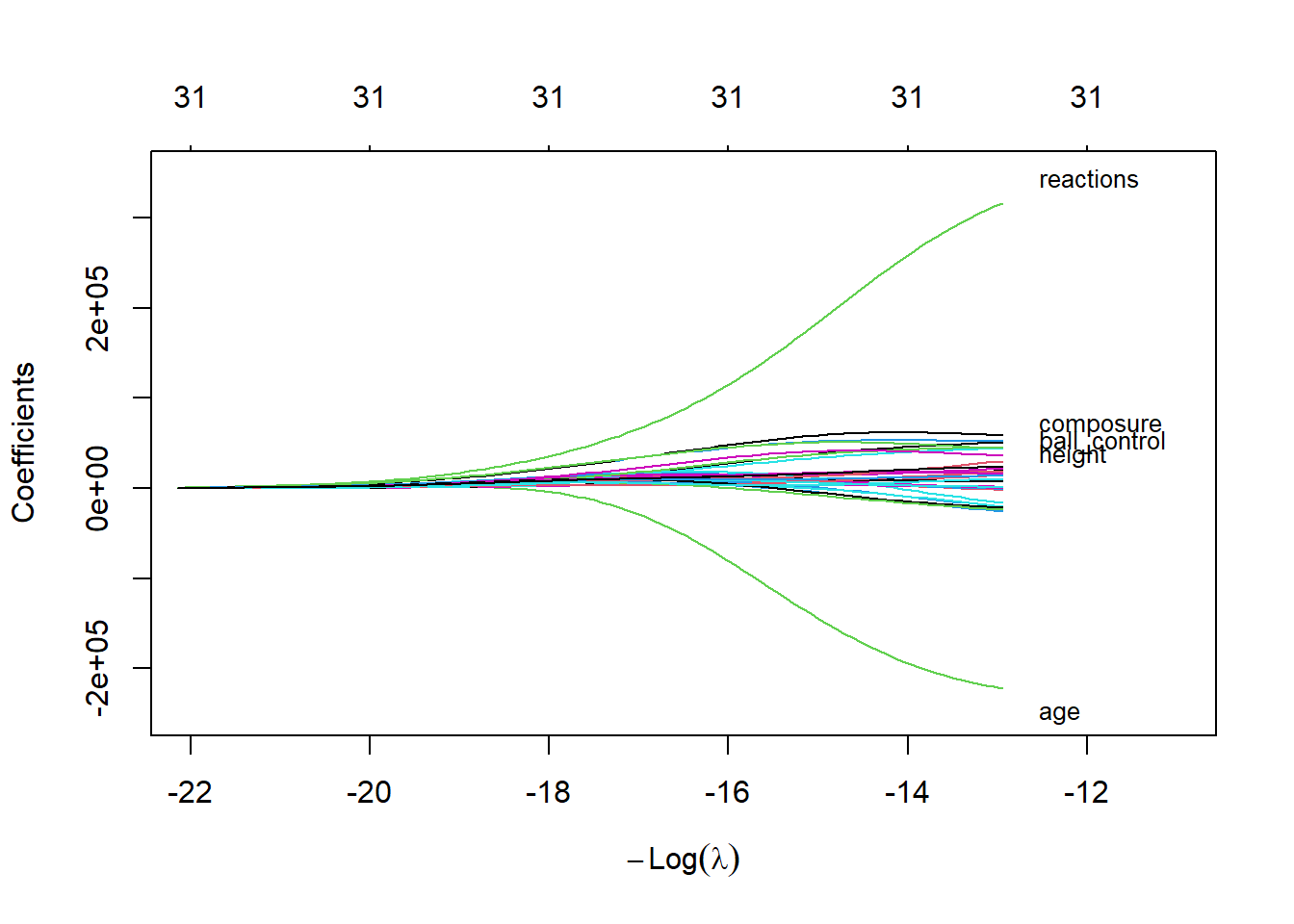
plot(lasso_model, 
     xvar = "lambda", 
     label=F,
     xlim = c(-15, -6),
     ylim= c(-3e05, 4e05))
# se agrega etiquetas de las 5 variables más importantes

add_top_coef_labels_glmnet(lasso_model, top_n = 5, offset_x = 0.2, col = "black")

Código
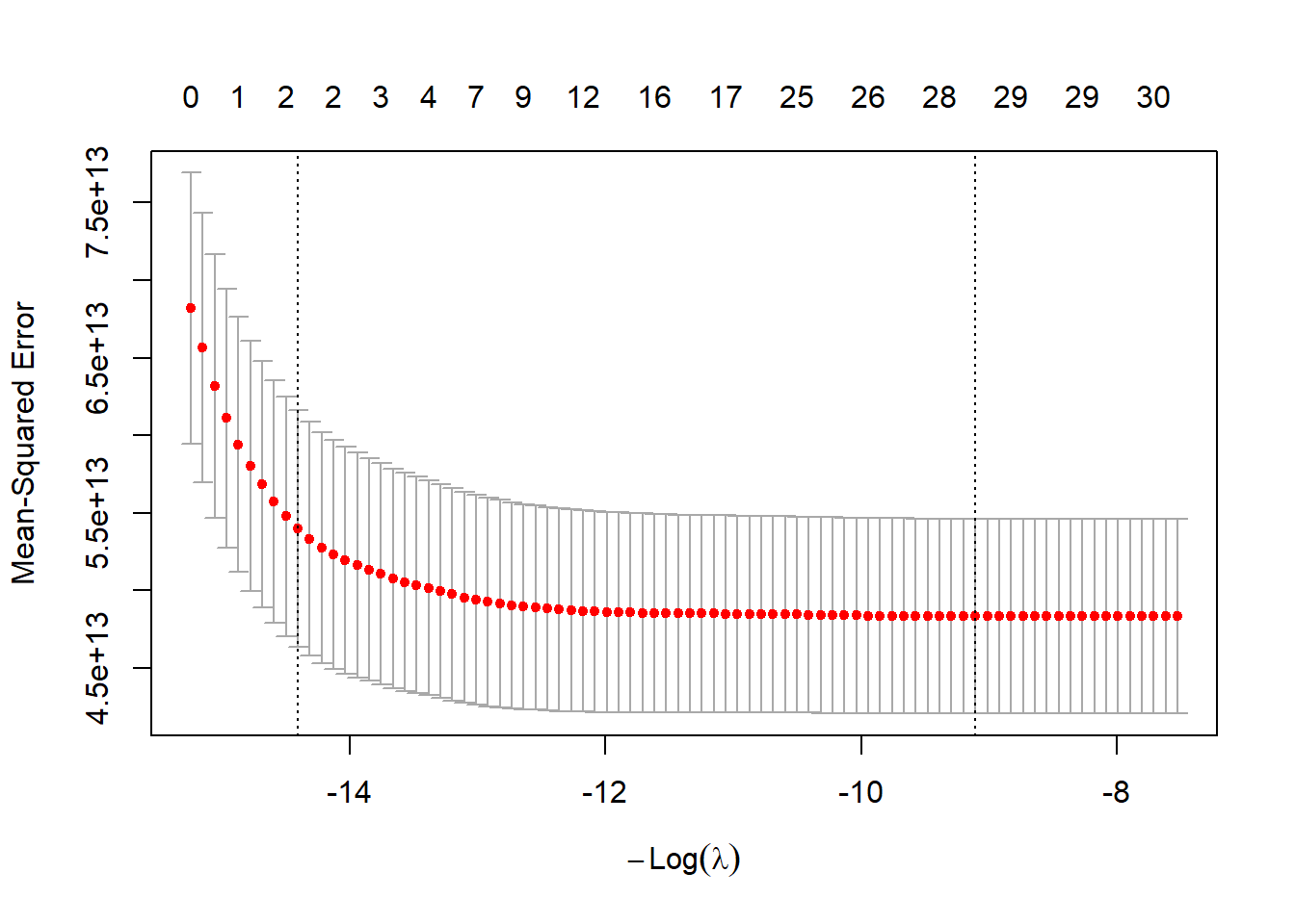
cv_lasso <- cv.glmnet(
  as.matrix(train[, !names(train) %in% "new_value"]),
  train$new_value,
  standarize=T,
  nfolds = 10
)

cv_lasso$lambda.min  # valor de lambda que minimiza el ecm
[1] 9011.855
Código
plot(cv_lasso)

Código
# Selección lambda óptimo
lasso_lambda_opt = cv_lasso$lambda.min
# Entrenamiento modelo óptimo
lasso_opt = glmnet(x = as.matrix(train[, !names(train) %in% "new_value"]), # Matriz de regresores
                   y = train$new_value, #Vector de la variable a predecir
                   alpha = 1, # Indicador del tipo de regularizacion
                   standardize = TRUE,  # Estandarizamos
                   lambda = lasso_lambda_opt)
# Salida estandar
lasso_opt

Call:  glmnet(x = as.matrix(train[, !names(train) %in% "new_value"]),      y = train$new_value, alpha = 1, lambda = lasso_lambda_opt,      standardize = TRUE) 

  Df  %Dev Lambda
1 28 30.38   9012

El porcentaje de deviance explicado del modelo final es del 30.35%. La regresión Lasso selecciona 27 variables.

Código
# Tidy
lasso_opt %>% tidy() %>% mutate(estimate = round(estimate, 2))
# A tibble: 29 × 5
   term           step   estimate lambda dev.ratio
   <chr>         <dbl>      <dbl>  <dbl>     <dbl>
 1 (Intercept)       1 -41418495.  9012.     0.304
 2 height            1     48411.  9012.     0.304
 3 age               1   -236862.  9012.     0.304
 4 ball_control      1     51885.  9012.     0.304
 5 dribbling         1    -21756.  9012.     0.304
 6 stand_tackle      1     29159.  9012.     0.304
 7 aggression        1     18587.  9012.     0.304
 8 reactions         1    366597.  9012.     0.304
 9 att_position      1    -28638.  9012.     0.304
10 interceptions     1    -31333.  9012.     0.304
# ℹ 19 more rows

Elastic net

La penalización Elastic Net combina las fortalezas de Ridge y Lasso al añadir a la función de costo una mezcla lineal de las penalizaciones \(L_1\) y \(L_2\), controlada por el parámetro \(\alpha\). Un \(\lambda\) (lambda) alto resulta en un modelo más penalizado.

\[ \min_{\beta_0, \beta} \left\{ \frac{1}{2N} \sum_{i=1}^{N} (y_i - \beta_0 - x_i^T \beta)^2 + \lambda \left[ (1 - \alpha)\frac{1}{2} \sum_{j=1}^{p} \beta_j^2 + \alpha \sum_{j=1}^{p} |\beta_j| \right] \right\} \]

Código
models <- list()
for (i in 0:20) {
  name <- paste0("alpha", i/20)
  

  models[[name]] <-
    cv.glmnet(x = as.matrix(train[, !names(train) %in% "new_value"]), # Matriz de regresores
                   y = train$new_value, standarize=T, alpha=i/20)
}
Código
# Lista para guardar los modelos
models <- list()

# Vector para almacenar los resultados
results <- data.frame(alpha = numeric(), lambda = numeric())

for (i in 0:20) {
  a <- i / 20
  name <- paste0("alpha", a)
  
  # Ajuste del modelo con cv.glmnet
  models[[name]] <- cv.glmnet(
    x = as.matrix(train[, !names(train) %in% "new_value"]),
    y = train$new_value,
    standardize = TRUE,
    nfolds= 10,
    alpha = a
  )
  
  # Guardar el alpha y el MSE mínimo
  results <- rbind(
    results,
    data.frame(
      alpha = a,
      lambda = models[[name]]$lambda.min  # cvm contiene el MSE promedio por lambda
    )
  )
}

# Ver el data frame final
results
   alpha    lambda
1   0.00 418293.26
2   0.05 197810.00
3   0.10 108548.11
4   0.15  79420.95
5   0.20  65373.29
6   0.25  62993.89
7   0.30  47831.41
8   0.35  37356.17
9   0.40  35873.55
10  0.45  21978.89
11  0.50  28698.84
12  0.55  26089.86
13  0.60  23915.70
14  0.65  20114.86
15  0.70  15506.87
16  0.75  13187.33
17  0.80  17936.78
18  0.85  15381.95
19  0.90  12060.90
20  0.95  12540.15
21  1.00   9890.50

Mejor modelo

Código
elastic_opt = glmnet(x = as.matrix(train[, !names(train) %in% "new_value"]), # Matriz de regresores
                   y = train$new_value, #Vector de la variable a predecir
                   alpha = 0.95, 
                   standardize = TRUE,
                   lambda=min(results$lambda))
# Salida estandar
elastic_opt

Call:  glmnet(x = as.matrix(train[, !names(train) %in% "new_value"]),      y = train$new_value, alpha = 0.95, lambda = min(results$lambda),      standardize = TRUE) 

  Df  %Dev Lambda
1 28 30.37   9890
Código
# Tidy
elastic_opt %>% tidy() %>% mutate(estimate = round(estimate, 2))
# A tibble: 29 × 5
   term           step   estimate lambda dev.ratio
   <chr>         <dbl>      <dbl>  <dbl>     <dbl>
 1 (Intercept)       1 -41379168.  9890.     0.304
 2 height            1     48285.  9890.     0.304
 3 age               1   -236748.  9890.     0.304
 4 ball_control      1     51623.  9890.     0.304
 5 dribbling         1    -21376.  9890.     0.304
 6 stand_tackle      1     28782.  9890.     0.304
 7 aggression        1     18505.  9890.     0.304
 8 reactions         1    366459.  9890.     0.304
 9 att_position      1    -28385.  9890.     0.304
10 interceptions     1    -30909   9890.     0.304
# ℹ 19 more rows

Resumen

Código
# 1. Extraer los coeficientes del modelo Elastic Net óptimo
# La función 'coef' devuelve una matriz 'dgCMatrix'
elastic_coef <- coef(elastic_opt)

# 2. Extraer los coeficientes de los modelos Ridge y Lasso óptimos
# Asume que ya tienes 'ridge_opt' y 'lasso_opt' ajustados de manera similar
ridge_coef <- coef(ridge_opt)
lasso_coef <- coef(lasso_opt)
Código
# Convertir y limpiar los coeficientes a un data.frame simple
extract_and_clean <- function(model_coef, model_name) {
  df <- data.frame(
    Variable = rownames(model_coef),
    Coeficiente = as.numeric(model_coef),
    Modelo = model_name
  )
  # Quitar la columna del intercepto (Intercept) para simplificar la comparación si se desea
  # df <- subset(df, Variable != "(Intercept)")
  return(df)
}

# Aplicar la función de limpieza y combinación
coef_ridge <- extract_and_clean(ridge_coef, "Ridge (α=0)")
coef_lasso <- extract_and_clean(lasso_coef, "Lasso (α=1)")
coef_elastic <- extract_and_clean(elastic_coef, "Elastic Net (α=0.95)")

# Combinar todas las tablas en una sola
tabla_final <- merge(coef_ridge[, c(1, 2)], coef_lasso[, c(1, 2)], by = "Variable", all = TRUE, suffixes = c(".Ridge", ".Lasso"))
tabla_final <- merge(tabla_final, coef_elastic[, c(1, 2)], by = "Variable", all = TRUE)
names(tabla_final)[4] <- "Coeficiente.ElasticNet"

# Opcional: reemplazar NAs (si hubiera) con 0 para Lasso (aunque con tu ajuste no debería haber NAs)
# tabla_final[is.na(tabla_final)] <- 0
Código
tabla_final
        Variable Coeficiente.Ridge Coeficiente.Lasso Coeficiente.ElasticNet
1    (Intercept)     -4.183721e+07     -4.141850e+07          -4.137917e+07
2   acceleration      4.479216e+04      4.474708e+04           4.459641e+04
3            age     -2.224014e+05     -2.368623e+05          -2.367481e+05
4     aggression      1.841117e+04      1.858744e+04           1.850527e+04
5        agility     -2.502621e+04     -2.920451e+04          -2.896862e+04
6   att_position     -2.026471e+04     -2.863769e+04          -2.838535e+04
7        balance      1.803556e+04      1.778636e+04           1.760122e+04
8   ball_control      5.127288e+04      5.188543e+04           5.162325e+04
9      composure      5.975781e+04      5.178765e+04           5.182172e+04
10      crossing      1.532453e+04      1.637492e+04           1.623767e+04
11         curve      1.338590e+04      1.425067e+04           1.419897e+04
12     dribbling     -1.699359e+04     -2.175615e+04          -2.137613e+04
13     finishing      3.104593e+04      3.852337e+04           3.820697e+04
14        fk_acc      1.031238e+04      1.290456e+04           1.281652e+04
15       heading      3.676510e+04      3.126445e+04           3.127771e+04
16        height      5.131127e+04      4.841061e+04           4.828494e+04
17 interceptions     -2.020321e+04     -3.133341e+04          -3.090900e+04
18       jumping      1.532115e+03      5.868123e+02           5.319712e+02
19     long_pass     -3.988093e+02      0.000000e+00           0.000000e+00
20    long_shots     -2.364124e+04     -2.763035e+04          -2.746300e+04
21     penalties      1.565524e+04      1.246561e+04           1.247764e+04
22     reactions      3.160493e+05      3.665967e+05           3.664585e+05
23    short_pass      4.484603e+04      2.940028e+04           2.947046e+04
24    shot_power     -2.095961e+04     -2.429482e+04          -2.408652e+04
25  slide_tackle      1.011101e+03      0.000000e+00           0.000000e+00
26  sprint_speed      4.543311e+04      4.600434e+04           4.597140e+04
27       stamina      4.090059e+02     -9.534677e+02          -8.772476e+02
28  stand_tackle      1.970784e+04      2.915927e+04           2.878203e+04
29      strength      7.836599e+03      5.911185e+03           5.845007e+03
30        vision      2.253327e+04      2.567220e+04           2.545884e+04
31       volleys      2.360521e+04      2.607618e+04           2.601014e+04
32        weight     -1.727652e+03      0.000000e+00           0.000000e+00

Evaluando en Test

Código
x_test <- as.matrix(test[, !names(test) %in% "new_value"])
y_test <- test$new_value

# === Ridge (alpha=0) ===
pred_ridge <- predict(ridge_opt, x_test)
mse_ridge <- mean((y_test - pred_ridge)^2)          # ECM
rmse_ridge <- sqrt(mse_ridge)                       # RSME
mae_ridge <- mean(abs(y_test - pred_ridge))         # MAE

# === Lasso (alpha=1) ===
pred_lasso <- predict(lasso_opt, x_test)
mse_lasso <- mean((y_test - pred_lasso)^2)
rmse_lasso <- sqrt(mse_lasso)
mae_lasso <- mean(abs(y_test - pred_lasso))

# === Elastic Net (alpha=0.95) ===
pred_elastic <- predict(elastic_opt, x_test)
mse_elastic <- mean((y_test - pred_elastic)^2)
rmse_elastic <- sqrt(mse_elastic)
mae_elastic <- mean(abs(y_test - pred_elastic))

# === Tabla resumen ===
results <- data.frame(
  Modelo = c("Ridge", "Lasso", "Elastic Net"),
  ECM_Test = c(mse_ridge, mse_lasso, mse_elastic),
  RSME_Test = c(rmse_ridge, rmse_lasso, rmse_elastic),
  MAE_Test = c(mae_ridge, mae_lasso, mae_elastic))

print(results)
       Modelo     ECM_Test RSME_Test MAE_Test
1       Ridge 2.141391e+13   4627517  2957468
2       Lasso 2.163449e+13   4651289  3001880
3 Elastic Net 2.163084e+13   4650897  3001220
Código
plot(y_test, pred_lasso)
abline(0, 1)

Ridge y Lasso reducen la magnitud de los coeficientes de las variables, lo cual atenúa pero no resuelve el impacto de outliers. Ridge suaviza la influencia, Lasso puede volverse inestable y seleccionar mal variables. La regularización controla varianza, no robustez; para outliers se necesitan técnicas robustas adicionales.